2011级软件工程专业卓越工程师教育培养计划
学生遴选方案
经教育部批准,麻豆视频
软件工程专业被列为第二批卓越工程师教育培养计划(下简称“卓越计划”)专业。为做好这项工作,麻豆视频
拟组建软件工程专业“卓越计划”试点班,人数暂定35人左右,具体人数以最后公布为准。
一、培养目标
在校企合作基础上,通过课堂教学、实习实践等各种教学环节,以软件开发过程为纽带,培养具有良好的综合素质、扎实的软件理论基础,以及出色的软件设计开发能力、较强的创新能力的优秀卓越软件工程师。
二、基本条件
1、坚持四项基本原则,遵守法律,遵守校规校纪,品行端正;
2、热爱本专业,有志于毕业后从事软件设计和开发工作;
3、入学后成绩良好,有一定的动手能力;
4、目前为2011级软件工程(嵌入式软件人才培养方向)专业学生。
三、遴选方式和时间
符合上述基本条件的学生可自愿提出进入“卓越计划”试点班的申请。在学生入学后的第三学期完成 “卓越计划”试点班学生遴选工作(以学院通知为准)。
四、具体细则
若申请人数超出正式公布的试点班人数限额,则按综合成绩进行排序。综合成绩计算公式如下:
综合成绩=加权平均分*60%+面试成绩*40%
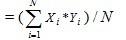
其中加权平均分由学生第一、第二学期各门课程成绩计算而得。计算公式为:加权平均分
其中:
N:第一、第二学期课程总门数
Xi:课程的加权系数
Yi:课程成绩
Xi按如下方式确定:
①大学英语及学位课程,Xi= 1.2
②学科基础课程(学位课除外),Xi= 1
③其余课程,Xi = 0.8
课程成绩以初始成绩为准,不考虑补考和重修成绩。
五、说明事项
遴选工作实行公示制度。学院将对初步确定的“卓越计划”试点班学生名单予以公示。在公示期内,学生如有异议,可向学院“卓越计划”领导小组提交书面材料,由领导小组核实、处理。公示三天后正式公布“卓越计划”试点班学生名单,并将名单报送教务处备案,完成后续工作。
本方案解释权归学院“卓越计划”领导小组所有。
麻豆视频
2012年11月19日